As we go about our daily lives we interact with a bewildering and amazing array of materials. A partial list could include:
- Car bodies that crumple in the event of an accident, and thereby possibly prevent injury to the passengers.
- Detergents, ranging from those that wash and disinfect our cooking equipment, to those that wash our hair.
- Foodstuffs packed into various containers in various states, ranging from granular solids (cereal), through materials that are neither fluid nor solid (mayonnaise), to fluid suspensions (milk)
- Floor coverings which balance aesthetic appeal with desirable mechanical properties (soft for feet) and thermal properties (cool in summer, warm in winter).
In the final analysis the various properties of the materials listed above are determined by their chemical make-up. However, chemistry cannot be used to predict what materials actually do in a given situation. This is because any piece of material contains an astronomical number of molecules, thereby making prediction all but impossible (where would you get the initial conditions from, for one). Of course for many simpler materials (like water) there is a long tradition of using a macroscopic description to make predictions. These macroscopic theories can be very simple (say the law of hydrostatic pressure) or very complex (the full Navier Stokes equations). We could, however ask what the simplest way to think about complex materials is.
On of the oldest examples of a complex, readily accessible material is Silly Putty. When Silly Putty is rolled up into a ball and dropped it bounces. However when Silly Putty is stuck to a wall and left alone it flows down (very slowly). Thus Silly Putty behaves partially as a solid and partially as a fluid.

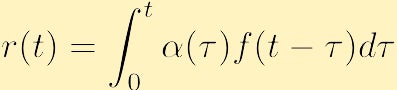
You can think of two generic variables, namely f, for forcing and r, for response. For solids the forcing is proportional to the response, while for fluids the forcing is proportional to the rate of change of response with time (think of it as a velocity).
However for materials like silly putty we have a mix of the two behaviours. In particular the response at a given time depends on the forcing, not just at that time, but earlier times as well. Mathematically we can write this as

where the function
is called the memory kernel. We are assuming that for t<0 the forcing is zero. Are there any restrictions on
Well certainly, events in the more distant past should be weighted less, so
should be a decreasing function. Second, we should try to pick a functional form that has some basis in physical theory. Some of this is explored in the attached (save this file onto your computer and open it with Maple) Maple worksheet.
Here is another example of some neat continuum mechanics I found around the house. While washing the dishes I noticed that the little bubbles in the detergent bottle were stuck (or moved too slowly for my eye to notice). When I took a picture I also noticed that some larger bubbles, which did actually move up towards the surface remained stuck below the surface due to surface tension.

Finally I don't want to make it seems like the neat continuum mechanics found around the house is limited to complex materials. Indeed, the complex motion of water has fascinated artists and scientists alike for centuries (sketches made by Leonardo Da Vinci of turbulent fluid motion). For my part I include a photo I took of a stream of water breaking up after leaving a garden hose.
