An integral part of fluid dynamics is vorticity. Heuristically, it measures the local rotation of a fluid parcel. For solid objects we do not speak of the vorticity of an object but instead we refer to its angular velocity. These two concepts are related but vorticity is more useful when discussing rotating objects that deform, as a fluid does.
The vorticity of a given velocity field within a given plane, is computed by choosing any two orthogonal axes in that plane and adding the angular velocity of each axes. In a solid object, or a fluid that rotates like a solid object (aptly named solid body rotation), the vorticity is twice the angular velocity since each axis rotates at the same rate. However in a fluid the two axes can rotate at very different rates and even different directions! It is even possible that each axis can rotate yet the net vorticity is zero (see irrotational vortex).
If the motion of a fluid is strictly confined to lie in a plane then the vorticity vector is taken to be orthogonal to the plane and cannot change directions (or tilt). The only aspect of the vorticity that can change is its magnitude. It is believed that this transfer of energy to larger scales is connected with the formation of the Great Red Spot on Jupiter.

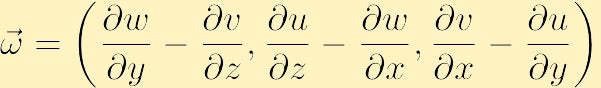
In three dimensional fluid motion the vorticity vector is three dimensional in that it has components parallel to each axis, x, y and z: the z component is parallel to the z axis and describes the rotation rate in the xy plane. It is because of this dichotomy that there is a qualitative difference in behaviour between two-dimensional turbulence and three dimensional turbulence. In the former there is a tendency for vortices to clump together and form larger vortices, whereas in the latter the vortical motions are torn apart and the energy cascades down to the smallest scales where it is then diffused away.

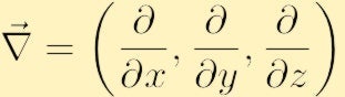
Mathematically, the vorticity of a given velocity field,
is defined to be the curl of the velocity field, and is usually denoted with the greek letter omega,

where we have used the conventional nabla symbol for the gradient:

In component form the vorticity is found by expanding the determinant above,

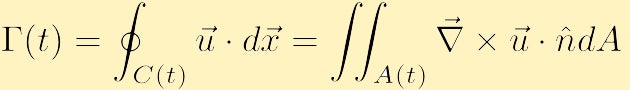
Another important aspect of fluid dynamics that is related to vorticity is circulation. Unlike vorticity which is a local property, defined at every point in space, circulation is a global property, defined by integrating a property of the fluid over a curve. In particular, if you pick any closed contour and denote it with the letter C(t) the circulation around C(t), in a counter-clockwise direction, is a scalar quantity denoted with,
is defined as,

which can be a function of time, as can the closed contour.
Let us take a moment to explain what this is saying physically. At every point on the contourC(t) we find the component of the velocity that is tangent to the curve and multiply this scalar by an infinitesimal length; projecting the velocity onto the tangent will necessarily give a magnitude between the speed at that position and zero. If the velocity is tangent to the curve then we get plus or minus the speed of , if the velocity is orthogonal to the curve, we get zero. Then we integrate this quantity, a different way of saying summing an infinite number of things, around the contour so that we add the contribution from every point. From this we ascertain that the circulation along a contour C(t) is the amount of flow around the contourC(t); a positive or negative result corresponds to contour clockwise or clockwise circulation, respectively. One extreme case is where the velocity field is everywhere perpendicular to the curve C(t) and consequently there is no circulation since the flow is always crossing the contour and never flowing along the contour. To get a nonzero circulation there must be some part of the curve where the flow is along the closed contour.
If the velocity field is smooth and there are no singularities within C(t) then we can use Stokes' Integral Theorem from vector calculus to rewrite the circulation as,

where A is the area contained within the contour C and ń is the unit normal vector to the areaA.
Before we contemplate this new equation for the circulation it is useful to understand the physical meaning for Stokes' Theorem where the vector field is the velocity. In the double integral above we compute the vorticity at every point within the contour and then sum up the vorticity over all of these points in A(t). In the single integral over the closed contour we are computing the flow along the boundary of the area. Stokes' theorem then states that these quantities are equal, and thus that if there is mean vorticity within an area, which must then mean the area has a nonzero rotation rate, there must consequently be a net circulation along the perimeter of that boundary.
From the Mean Value Theorem of calculus we can replace the integrand in the double integral with a mean value, which corresponds to the mean component of the vorticity orthogonal to the plane in which C(t) lies. Thus, the second interpretation of circulation is that it is the mean vorticity times the area contained within C(t). Instead of computing the circulation on the closed contour C(t) we can compute the mean vorticity normal to A(t) and multiply that by the area within. If you consider the special case where the vorticity is everywhere constant the circulation would be the magnitude of vorticity times the area contained within.
A point vortex is a vortex which has no area, which means that vorticity is present only at a single point. To study point vortices we will first assume that we have a 2D incompressible flow. (Point vortices are also sometimes referred to as line vortices when viewed in 3D.)
After some calculations we determine that the velocity field which is generated by a point vortex, in complex form, which is located at z0 is given by (where Gamma zero is the circulation around the point vortex, which is often referred to as the strength of the point vortex):

The velocity field generated by one point vortex can cause another point vortex to move. Here are a few examples of this: The two point vortices, both positive and of equal magnitude, the two point vortices, both positive but one has triple the strength of the other and one point vortex is negative with twice the magnitude of the other which is positive . Another possibility is to consider two point vortices of the same magnitude but opposite sign.
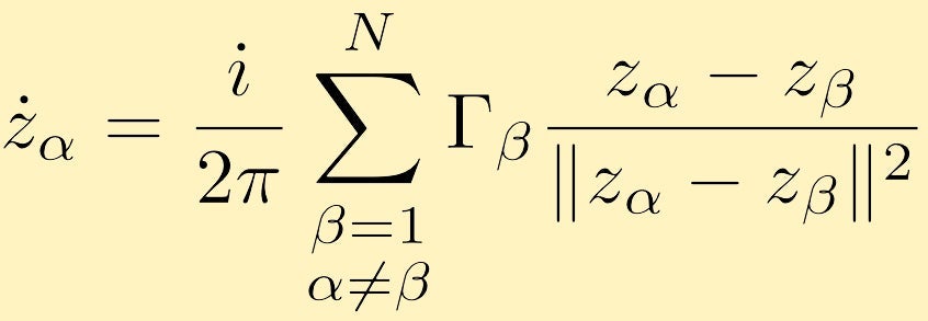
This can be extended to any number of point vortices, N. The equation of motion in complex form for a point vortex alpha is given by:

Looking at the interactions of point vortices is a very interesting problem which is difficult to do analytically especially as the number of point vortices increases. Numerical simulations of point vortex interactions is thus very common. One useful application of large point vortex simulations is if you look at large clusters of point vortices which simulates vortices with finite area. Here are descriptions and the results of several large point vortex simulations. In this case we have two large clusters of point vortices of equal strength merging. In the next case we start of with a ring of clustered point veracities.
To find an equation for the evolution of the vorticity we begin with the momentum equation. In the momentum equation the advective term can be rewritten as follows,

We next compute the curl of the momentum equation and through some vector identities we get the vorticity equation:

The vorticity equation shows how vorticity can be generated in a fluid. Without loss of generality we will assume that initially we only have vorticity in the z direction. From this we can see how each of the four different terms can alter the vorticity.

If there is a change in velocity with direction of existing vorticity, vorticity can be generated.

If a fluid parcel is expanding and the vorticity is positive the vorticity of the fluid parcel will decrease and if the parcel is contracting the vorticity will increase.

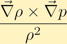
Fluid layers of constant density (isopycnals) want to coincide with layers of constant pressure (isobars). If these layers do not coincide the fluid start to rotate to make them line up which causes vorticity to be generated. (In the example we start with zero vorticity.)

Viscous forces cause the diffusion of vorticity. (In the example we start with a point of infinite vorticity at the center.)