The type of wave motion which most people are familiar with are waves that occur on the free surface of water. For example, the ripples that occur when a small rock is dropped into the water or the waves that can be seen breaking on a beach (Pinery Provincial Park on Lake Huron, below).

-
Inviscid: nu = 0
-
Constant density: rho = const => grad u = 0
-
Irrotational: vortcity = 0
-
The mean depth of the fluid is constant: H = const
-
The fluid is invariant with y (the in-page direction): derivative with respect to y -> 0





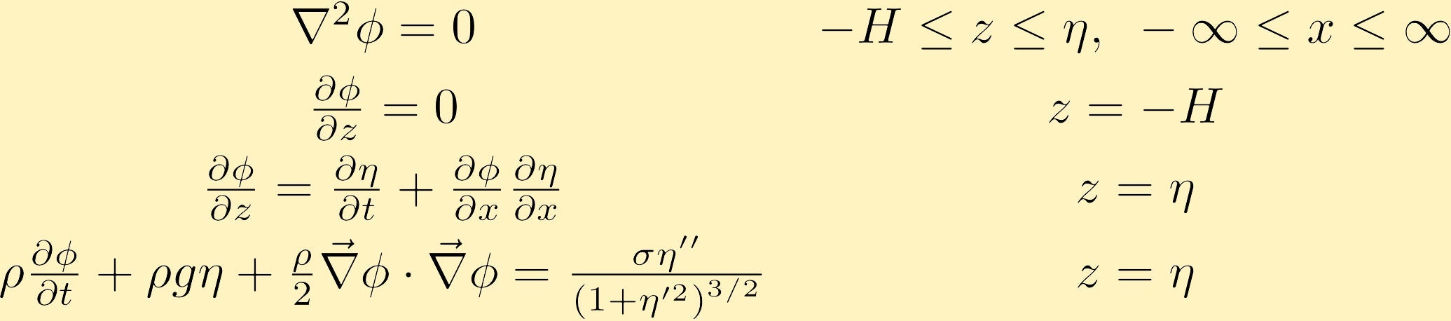
To get the remainder of the equations we now need to consider some boundary conditions. First we will look at the bottom boundary. The bottom is solid and hence there is no flow normal to this boundary. Mathematically this gives us w=0 at z =-H , assuming we have a flat bottom. This is the kinematic bottom condition.
We have considered the bottom boundary so next we will look at the surface. At the surface we want to ensure that particles that start off on the surface always remain on the surface. This condition is known as the kinematic surface condition. Following a particle which is on the surface the rate of change of the difference of the z position and the displacement of the surface is zero,

Mathematically, it gives the following condition, note that this condition is nonlinear however it does assume there is no wave breaking:

The final boundary condition is the balance of forces on at the free surface. Since the fluid is inviscid, the forces at the surface are the pressures above and below the surface (a surface force from the stress tensor) and the surface tension (a line force that occurs only at the surface, and is chemical in nature).

After some work the balance of forces gives us the following equation for pressure at the surface:

The atmospheric pressure is often taken to be approximately zero (relative to the pressure in the water). Since, we have inviscid and irrotational flow we can use Bernoulli's Equation,

and without loss of generality we can take B(t) = 0 this is a tricky point that you should think about) which gives our last boundary condition, the dynamic surface condition.

To summarize what we have deduced so far:

The above problem is fully nonlinear and still remains unsolved. The next thing to consider are waves that have a relatively small amplitude, a << 1. For this case we will set,

and,

Since, a2 << a we can use this to linearize our problem, to first order this gives us the linearized wave equations:

Solving the linearized wave equation
To solve the linearized wave equation we start by looking for normal mode solutions of the from,

It is sufficient to only consider solutions of this form since any continuous function can be written as a sum of sines and cosines.
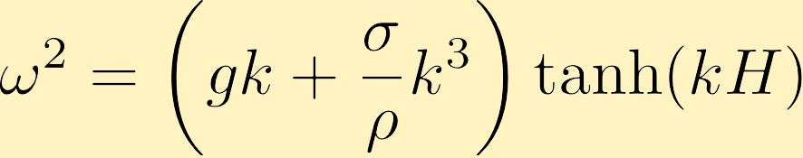
From this starting point and using the kinematic boundary condition at the bottom and the dynamic boundary condition at the surface one can deduce that we should look for solutions of the following form,



Special limits
Looking at the dispersion relation we deduce some special limits and look at the types of waves these limits produce. Since surface tension only shows up in one of the terms we can look at the weighting of the gravity term, gk, versus the surface tension term, sigma k3 / p.
If surface tension dominates over gravity, i.e.. sigma >> rho g / k2 , then we have waves whose restoring force is mainly due to surface tension. These waves are known as capillary waves.
Under normal situations when do capillary waves occur?
At an air water interface at temperatures of about 20 degrees Celsius we have the following values for our parameters, sigma = 0.0728 N/m and p = 1000 kg/m3. Which gives k2 >> 1.35x105 m-2 for capillary waves or lambda << 1.7cm ~ 2cm. This tells us for waves with wave length much less then 2cm gravity is negligible and surface tension is the dominating force, giving us capillary waves.
Now if we assume that we have waves with wavelength much longer than 2cm we can neglect surface tension, giving the following dispersion relation:



Stokes' Drift
When looking at waves at the beach you can notice that the waves do not transport things (like seaweed of drift wood) at the same speed at which the crests and troughs of the waves propagate. However, objects still appear to be moving in the direction of wave propagation, albeit a lot slower. This effect is called Stokes' Drift. It is due to second order (nonlinear) effects. Looking at the pathlines of a particle one can see that the pathline for one period is not a closed loop nor does it follow the shape of the wave.

Wave refraction
Another phenomena that can be noticed when at the beach is that waves appear to arrive parallel to the shore. This phenomena is known as wave refraction. Assume we have a depth that decreases as we approach the shore, i.e. H = H(x). We can now look at how this affects the phase speed of our gravity wave in shallow water:
From this relation we can see that the phase speed of the waves decreases as the depth decreases. This will cause waves approaching the shore at an angle to rotate parallel to the shore as they approach.
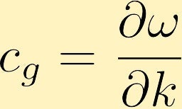
Group velocity
Group velocity is a concept that is initially quite difficult to understand. Mathematically, it is defined as,

Physically, it is the speed at which energy travels. If there is no energy then no waves can be present and thus the group speed tells us how far a wave packet propagates in a given amount of time. Using the above definition for the group velocity, we come up with the following expression for the group velocity in surface gravity waves:
