Internal waves are waves which, as the name suggests, occur in the interior of a fluid. You may be asking what sort of restoring force makes waves in the interior of a fluid possible, or you may question how important waves which do not occur on the surface of a fluid are. The answer is that just like surface waves, gravity is the restoring force for internal waves. The density differences in the interior of the fluid are tiny compared to those at the surface (density of water is 1000 times that of air). These tiny density differences, which are almost always present in the oceans and the atmosphere make it possible to have very large internal waves. Large internal waves can have very large currents associated with them and hence they can transport material in the ocean or atmosphere along with them. To start off we will discuss some cases where internal waves play an important role.
Cloud formations known as morning glories are caused by a cloud being trapped in an atmospheric internal wave. These clouds can be several hundred kilometers wide and one to two kilometers in height.
Another interesting phenomena caused by internal gravity waves is dead-water. When a boat is travelling over water that strongly resembles a two layer fluid, a thin light layer of fresh water at the top and a thick dense layer of salt water below, the boat is unexpectedly slowed down by a mysterious force. The force is due to the ship generating a wake of waves at the interface of the two layers. The energy that the ship exerts to propel itself forward is translated into the generation of the internal waves. The physical oceanography department of the Royal Netherlands Institute for Sea Research contains a video of a lab demonstration of dead water. The video is quite large, but worthwhile to look at.
Near mountain ranges internal waves can form in the atmosphere, grow to their breaking point and subsequently cause very strong winds which can cause a lot of damage. This type of wind is often referred to as downslope winds and the internal waves responsible for it as mountain waves.
Two layer fluid
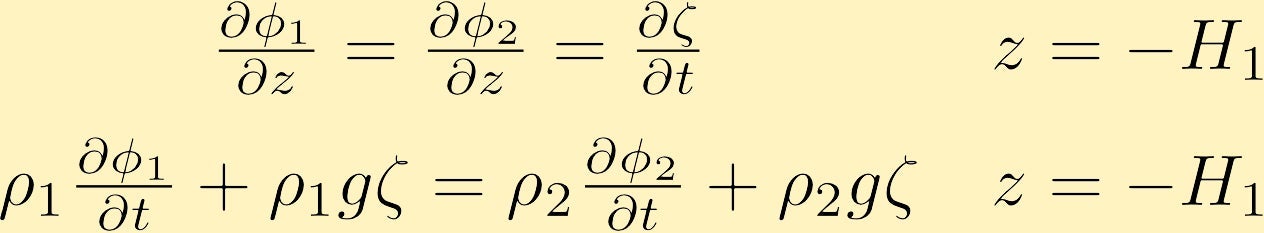
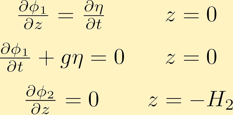
To model internal waves mathematically, we first consider a two layer fluid, that is, a fluid which has two layers each with different density, the denser layer is located on the bottom. We will assume that the layer are immiscible since this allows us to ignore the effects of mixing. The difference in density can be caused by several different things, for example salinity (higher salinity implies higher density) or temperature (lower temperature implies higher density). We will denote the top layer of fluid with a subscript 1 and the bottom layer with a subscript 2. Below is a diagram describing the variables in the problem:

If we assume that the fluid is incompressible and irrotational then the potential function for each layer solves Laplace's equation.






in this mode the surface wave and the interface wave are out of phase, and the disturbance amplitude is generally larger at the interface than at the surface. Here is an animation where the depth of the bottom layer is taken to be infinite. On thing to note in this animation is the phase speeds (which can be computed by c = k/w)
Continuously stratified fluid
In reality it is very unlikely that you will find a fluid which consists precisely of two or more distinct layers. It is more likely that the fluid is continuously stratified with a region where the density varies rapidly, known as a pycnocline. Think of a lake in the summer, which is quite warm for the top meter or so, but if you swim deeper you will quickly encounter very cold (and hence dense) water. Internal waves in a stratified fluid have peculiar properties compared to surface gravity waves as we shall see when we discuss group velocity.

To start off we will talk about the concept of buoyancy frequency. Assume we have a stabily stratified fluid,

(rho bar is the background density) We have a small fluid parcel of volume. Two forces will be acting on this fluid parcel, a gravitational force and a force due to buoyancy. Assuming the pressure field is unchanged and we displace the fluid parcel by a small amount vertically, z -> z + delta. Then the gravity force acting on the fluid parcel is,

downward and the buoyancy force is,

upward. Using Newton's 2nd law we get the following expression:


Which after some approximations we get,

This is an expression for for simple harmonic motion if,

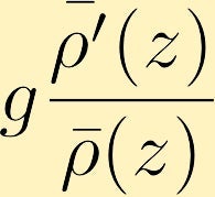
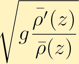
is constant and we define the buoyancy frequency N by,

With the Boussinesq approximation we get the simpler expression

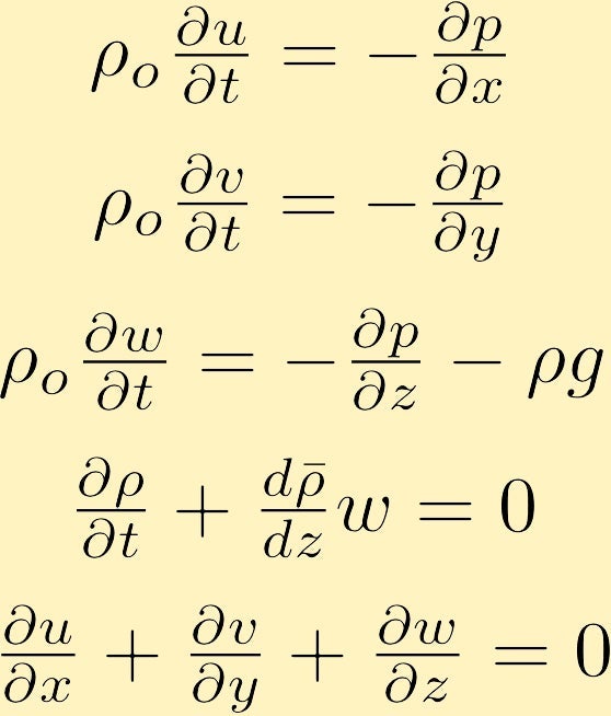
Applying the Boussinesq approximation (density is constant everywhere except in the gravity, or buoyancy term) and then linearizing the momentum equations, the energy equation and the incompressibility equation, we get the following governing equations:

One thing to note is for the case of the continuously stratified fluid we have not made the irrotationality assumption. Through quite a bit of manipulation of the governing equations we can determine the following expression for the vertical velocity:

From this expression we get the following dispersion relation (assuming the vertical velocity field has the form):



Note that the frequency only depends on the direction of k = (k,l,n) and not its magnitude. There is an upper bound on the frequency (namely the buoyancy frequency). If we then suppose that the wave motion has the form,

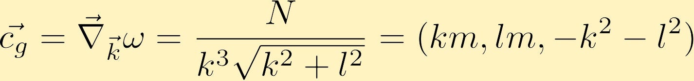
we find, since the motion is incompressible, i.e. the velocity is orthogonal to the wave number vector. Waves for which this is true are called shear waves. We can compute the group velocity to be,

which can easily be shown to be orthogonal to the phase velocity.
Internal waves can be generated by using a horizontal cylinder that oscillates at a frequency smaller then the buoyancy frequency. This will cause waves to be generated, so that energy moves away from the cylinder in four beams, with the crests and troughs (or phase) moving perpendicularly to the direction in which the beams carry energy away from the oscillating cylinder. In the picture below the orange dot represents the cylinder generating the waves and the red and green lines represent the crests and troughs of the wave.
