In many fluid dynamical models we are justified in neglecting viscosity since it is only influential in a thin region near solid objects. This region where viscosity is important is called a boundary layer. Outside of the boundary layer, which is usually where the majority of the fluid lies, viscosity is negligible. In our everyday experiences with water it appears to be inviscid, however this is not always the case. The reason why is that the importance of viscosity within a fluid is not determined by,

which is nearly constant for water, but rather by the ratio of the viscous term to the inertial (or nonlinear) term. This ratio is represented by the Reynolds number,

What is the Reynolds number for a person swimming in water?
The average swimming velocity for people is on the order of 1 m/s, the length scale is set by the persons height which is on the order of 1 m say and the dynamic viscosity is about 10-6m2/s. Therefore our Reynolds number is on the order of 106 which is much larger than one. This is why molecular viscosity is not important when we are swimming in water.
What is the Reynolds number of zooplankton swimming in water?
Zooplankton can be as small as several microns which means that their length scale is about 10-6 m, they swim at about 10-5 m/s and the viscosity coefficient is the same as before. In this case the Reynolds number relevant to our zooplankton is 10-5 and thus viscosity is much more important than inertia for these organisms. Actually anything that swims slowly in water and is very small will have a small Reynolds number and consequently must swim in a very different manner because viscosity dominates over inertia. If we ever had to swim through a vat of viscous fluid like molasses our regular swimming techniques wouldn't work. If we wanted to get anywhere we would have to copy these microorganisms. If you are interested, not in swimming in molasses but in reading more on this topic, I encourage you to read the article "Life at Low Reynolds Number" by E.M. Purcell, American Journal of Physics vol 45, pages 3-11 1977.
Laminar vs. Turbulent
Before getting into more about laminar flow we need to get a better understanding of what it is. Shear flow can be classified into two different categories: laminar and turbulent. Laminar flow has motion that is very regular and predictable. This can be seen when a water faucet is turned on low. The water comes out in straight lines and the motion is rather smooth. On the other hand if the faucet is turned on high the flow pattern becomes very irregular, with chaotic trajectories which are no longer in straight lines. This second type of flow is know as turbulent flow.
For some simple cases of laminar flow exact analytical solutions to the Navier-Stokes equations can be computed. Here are some examples:
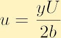
Plane Couette flow
Plane Couette flow is the name given to steady flow between two parallel plates where the bottom plate is stationary while the top plate is moving. We assume that the pressure gradient is zero and that the only forcing on the fluid is forcing due to the moving plate. The viscosity at the boundaries makes the fluid stick to the boundary which is why a shear develops within the interior of the fluid.


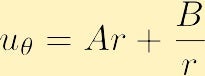
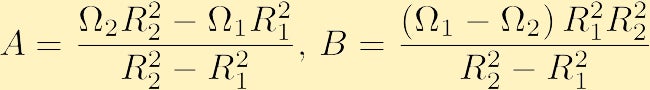
Circular Couette flow
Here we are looking at the steady state flow between two rotating concentric cylinders. Again, we assume that the pressure gradient is zero and the only forcing is due to the movement of the cylinders.



Circular Couette flow: Lab experiment
In the lab experiment we have a stationary outer cylinder and a rotating inner cylinder. Between the two cylinders there is a viscous fluid with particles within to illustrate the regions of convergence (light) and divergence (dark).

Plane Poiseuille flow
Plane Poiseuille flow is the steady state flow between two stationary parallel plates where the flow is driven by an imposed pressure gradient. In the picture below we take the pressure gradient to be constant.


Impulsively started plate
An infinitely large plate which is initially at rest, and then is impulsively given a constant velocity in a set direction.

Oscillating plate
An infinitely large plate which is oscillating back and forth at a constant frequency.
