Geophysical Fluid Dynamics (GFD) is the study of fluids that are rotating and/or stratified. The two primary examples are the Earth's atmosphere and oceans. Technically, any fluid on the earth is in a rotating frame of reference but it is only the slow and large scale motion of fluids that experiences the Coriolis force (really pseudo-force) to a significant degree. GFD also consists of the study of atmospheres on other planets, and their oceans too, if we find any. A more exotic fluid dynamical system that falls within the domain of GFD is the study of the liquid interiors of the gas giants like Jupiter. We will mainly focus on the rotational aspects of GFD. One essential point is that rotating fluids behave quite differently from the type of fluid dynamics we can observe directly. If the coordinate system is rotating there are two pseudo forces that are introduced into the balance of forces: the centrifugal force and the Coriolis force. The former modifies the body force due to gravity, but does not change the dynamics drastically. The Coriolis force which in the northern (southern) hemisphere deflects the motion to the right (left) creates some very counter intuitive behaviour.
Before we delve into new phenomena let us discuss the types of scales we are considering when we study GFD within the context of the atmosphere and oceans. The scales of GFD in the atmosphere are comparable to that of large scale weather. The scalings are typically such that the horizontal length scale is 100 to 500 km, the height scale is 10 km, the horizontal velocity is 1 to 50 m/s and the time scale is days to weeks. For the ocean the scalings are very similar but the numbers are usually smaller by a factor of ten: the horizontal length scale is 10 to 200 km, the height scale is 3 km, the horizontal velocity is 0.1 to 1 m/s and, as before, the time scale is days to weeks.
The momentum equation in a rotating frame of reference is,

where we have neglected frictional affects by setting nu = 0. Also, Pi is a sum of all the body forces including gravity and the centrifugal forces. If we assume that the motion is in a plane and that the rotational vector is normal to the plane then Omega Vector = Omega k hat, we further define f = 2 Omega, and thus the equation can be written as,

where k hat is the unit vector in the vertical.
In the context of this equation the Rossby number is defined as,

which approximates the relative importance of the nonlinear advection terms to the Coriolis force. A small Rossby number means that the Coriolis force is more important than nonlinear advection. In contrast if the Rossby number is large then the Coriolis force is negligible. For the parameters mentioned above with Omega = 2 Pi/day, we estimate the Rossby number to be Ro = 0.1 in the atmosphere and Re = 0.01 in the ocean. This indicates that the Coriolis force is significantly more important in the ocean than it is in the atmosphere. We should keep in mind that these numbers are typical for the open ocean. There are coastal currents like the Gulf Stream where the velocities are much higher and the length scales are much shorter, both of which contribute to increasing the Rossby number. This means that phenomena like the Gulf Stream are highly nonlinear and more difficult to understand.
The vorticity equation in a rotating frame is,

where,

is the absolute (total) vorticity (vorticity in a non-rotating frame), and,

is the relative vorticity. The four terms on the right hand side indicate that vorticity is changed because of tilting, stretching, baroclinicity and diffusion.
Finally, the circulation in a rotating coordinate system can be derived from the following equation,

This equation implies Kelvin's Circulation Theorem which states that the total circulation can only be altered in this model by baroclinicity and diffusive (viscous) effects.
Taylor columns
Consider a cylindrical tank which is rotating at a rate of Omega that is relatively fast compared to the motion of the fluid in the rotating reference frame. Image that there is a turtle at the bottom of the tank that moves slowly along the bottom. Since the motion is slow compared to the rotation of the tank we surmise that the Coriolis force is of primary importance and the Rossby number is very small. If the Rossby number is small this has certain implications on the physics. To deduce this let us rewrite this nondimensional parameter in two different forms,

The first expression is a ratio of two time scales and it implies that the time scale due to the rotation of the tank is short compared to the time scale formed by the motion of the fluid: "slow motion". The second expression says that the distance the fluid displaces after one rotation is much smaller than the typical length scale of the motion: "large scale motion". If we assume that the time scale for the evolution is an advective time scale T ~ L/U and if we neglect the nonlinear terms in favour of the Coriolis terms we must also neglect the temporal derivative. Furthermore, we assume the fluid is inviscid. It may look like we are throwing away everything but the kitchen sink but there is still some interesting behavior left in the equations!
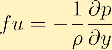
The only terms left in the horizontal momentum equations are the Coriolis and pressure terms. The balance that must be achieved in this particular limit is


The above equation is a particular kind of balance called geostrophic balance. Below are some illustrations of geostrophic balance in the northern hemisphere. The black and red arrows indicate the Coriolis and pressure forces, respectively. This is similar to what happens in the case of the Foulcault Pendulum. In the case of the pendulum the restoring force is gravity as opposed to the pressure gradient.


In the vertical we have hydrostatic balance,

Observe that if we compute the curl of the momentum equation above, the pressure terms cancel and we get that the divergence of the horizontal velocity field is zero,

Even though we have not said anything about the vertical motion we have deduced that if the Rossby number is small, motion is nearly steady and inviscid that the horizontal divergence is zero. Since the two dimensional divergence is zero we determine that,

Since the bottom of the tank is flat there is no normal flow at the bottom and thus, by the above equation, the vertical velocity is zero everywhere. Thus, strong rotation inhibits vertical motion.
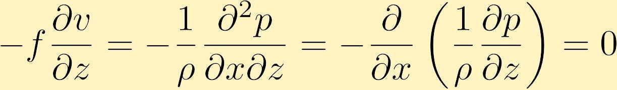
Differentiate the geostrophic balance equation with respect to the vertical coordinate z and then substitute in the hydrostatic balance equation,


The three above equations indicate that all of the three components of the velocity are independent of height. In other words, the fluid moves in two dimensional columns even though it is three dimensional. Here this effect is due to the strong rotation, but similar behavior can be induced if the fluid is very strongly stratified.
If we inject dye into the water at the surface we see that if the turtle can be coaxed to walk slowly to the dye, even though the dye lies well above the highest position of the turtle, the dyed water will separate as the turtle approaches. In essence, when the turtle walks around he carries the column of water above him everywhere he moves. He is the base of a fluid column. For this columnar type of motion to occur it is necessary that the motion is nearly steady, slow, that the rotation is fast and that the fluid is homogeneous and inviscid. The surprising result is know as the Taylor-Proudman Theorem. The columns in this flow are referred to as Taylor Columns.
In the animation below we have Taylor the turtle slowly walking in circles in a rotating tank. We are viewing the tank as if we were rotating with the tank. (Note that the details in the animation are not exactly right)

Geostrophy
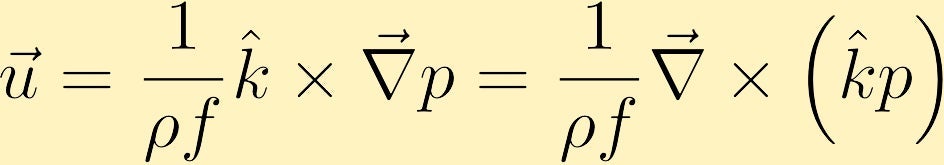
If the acceleration is small, which means that the Rossby number is small, the momentum equations (which are prognostic in their general form) reduce to a diagnostic relationship between the velocity and the pressure (see the geostrophic balance equations). Diagnostic means that if we are given one field at a particular time we can then determine the other at the same instant. If you multiply the geostrophic balance equations by the velocity and then add the equations we can write the resultant in vector form as,

this means that the velocity field is orthogonal to the gradient of pressure. This implies the rather startling result that in small Rossby number flows, the motion is along lines of constant pressure and not across them, as we have seen everywhere else so far in the course.
The geostrophic balance can be written in vector form as,

The second equation above indicates that the pressure is a streamfunction for the flow. This is why we have motion along the isobars (lines of constant pressure) and not across.
Consider a low and a high pressure system in the northern hemisphere each of which generates vortical motion. In the case of a low pressure system if you had a fluid parcel starting at rest, initially there is no Coriolis force. When released the parcel starts to move because of the pressure force, which causes it to move towards the low pressure system. As the parcel moves, it speeds up, which means that the Coriolis force grows, eventually to the point at which it balances the pressure gradient . During the acceleration stage, the fluid parcel approaches the center and the Coriolis force deflects it to the right which creates counter-clockwise motion. After the velocity has achieved its maximum there is a near balance between the pressure force, which is directed towards the center, and the Coriolis force which is acting away from the low. From this we see that the particle motion around a low pressure system is counter-clockwise. A similar argument works for a high pressure system, but the result is opposite. If the fluid parcel starts at rest it is first forced outwards, but then the Coriolis force deflects it to the right, which means that a clockwise circulation is induced. The end result is clockwise motion with a near balance between pressure pressure force (outwards) and the Coriolis force (inwards). The next time you watch the weather on the news and they show you high and low pressure systems you will know what direction the motion is, if they don't show it. Incidentally, low pressure systems corresponds to cloudy or wet weather whereas high pressure systems are usually clear and dry. This is illustrated in the pictures below, the red arrows represent the forcing due to pressure and the black the Coriolis force.


The above analysis was for the case where f > 0 which means that the frame of reference is rotating counter-clockwise. Since the low pressure system induces counter-clockwise motion as well, we call this cyclonic since the motion of the eddy rotates in the same sense as the ambient frame of reference. In the case of a high pressure system the motion is said to be anticyclonic. In both instances, if instead f < 0.